• (2)(2010追1_5)


  • エチレン(CH2=CH2)1分子をつくるには、炭素原子(C)が2個必要だ。
  • 自然界の炭素は、99%の普通の12Cと、1%の13Cとでできている。
    ということは、たくさんの炭素原子のつまった「袋」の中から、1個の炭素原子を「選び出す」ときに、それが
    • 13Cである「確率」pが、p=0.01
    • 12Cである「確率」1-pが、1-p=0.99 である、と言ってよい。
  • さて、無数の炭素原子のはいった「袋」から、たった2個の炭素原子を「取り出し」て、エチレンを組み立てるとき、出来上がったエチレンが、
    • 13CH2=13CH2である確率は、p2
    • 12CH2=13CH2である確率は、12CH2=13CH2である場合と13CH2=12CH2である場合を考慮して(!)、2!×p(1-p)
    • 12CH2=12CH2である確率は、(1-p)2
  • これはちゃんと、「二項定理」、

    の各項を表しておりますでしょ?
  • したがって、出来上がりの1mol、すなわちアボガドロ数NA=6.02×1023個のエチレン分子の内訳は、
    • 13CH2=13CH2は、p2NA=0.012×6.02×1023=10-4×6.02×1023=6.02×1019
    • 12CH2=13CH2は、2p(1-p)NA=2×0.01×0.99×6.02×1023=1.98×10-2×6.02×10232×6.02×1021
    • 12CH2=12CH2は、(1-p)2NA=0.992×6.02×10236.02×1023
    その比は、約1:200:10000、ということになる。

  • でも、本当にそうなのか?
    いや、もちろん、本当に、そうなのだろう?
    そこらへんの、エチレンの気体を取り出して、遠心分離とかの方法で、実際に質量分析をやってみれば、きっと、上で計算したのとちょうど同じくらいの割合で(!)、少し重たいエチレン分子が、見つかったりするのだろう?
    しかし、それはそれで、ちょっと「気持ち悪い(!)」話ではないだろうか?
  • 「気になる」のは、
    1. 無数のエチレン分子からただ一個を「取り出して」(そんなこと、できるものならやってみろ!)見たとき、それが、それぞれ、
      • 13CH2=13CH2
      • 12CH2=13CH2
      • 12CH2=12CH2
      である「確率」と、
    2. 現実に存在する、10の23乗というような「気の遠くなるような」膨大な数のエチレン分子のなかに、それぞれ
      • 13CH2=13CH2
      • 12CH2=13CH2
      • 12CH2=12CH2
      という分子が、どんな比率で存在しているか?、その「存在比率」を、
    混同してもいいのか?

  • 「思考実験」をしてみよう。この世に、炭素原子がたった100個しかなかったとする。1%が整数になるには、最低これだけは必要だから・・・。
    • 1個の13C
    • 99個の12C
    これらを「材料」にして、50組のエチレンを作る。
    エチレンの種類個数存在比率
    13CH2=13CH200%
    12CH2=13CH212%
    12CH2=12CH24998%
  • では、炭素原子200個では?
    • 2個の13C
    • 198個の12C
    これらを「材料」にして、100組のエチレンを作る。
    エチレンの種類個数存在比率
    13CH2=13CH211%
    12CH2=13CH200%
    12CH2=12CH29999%
    あるいは、
    エチレンの種類個数存在比率
    13CH2=13CH200%
    12CH2=13CH222%
    12CH2=12CH29898%


  • 次、炭素原子400個。
    • 4個の13C
    • 396個の12C
    これらを「材料」にして、200組のエチレンを作る。
    • まず、【タイプA】
      エチレンの種類個数存在比率
      13CH2=13CH221%
      12CH2=13CH200%
      12CH2=12CH219899%
    • あるいは、【タイプB】
      エチレンの種類個数存在比率
      13CH2=13CH210.5%
      12CH2=13CH221%
      12CH2=12CH219798.5%
    • さらに、【タイプC】
      エチレンの種類個数存在比率
      13CH2=13CH200%
      12CH2=13CH242%
      12CH2=12CH219698%
    • 4個の炭素原子が、2個のエチレン分子に「集中する」、ことは、なかなかありそうもないことだろう?
      では、このようなことが起こる「確率」を考えるべきなのだろうか?
      • 400個の炭素原子を左から一列に並べる。もちろん、炭素原子のすべてに区別が、つく!
      • これをまた左から順に2個ずつに区切っていく。こうして、200個のエチレン分子が出来上がる。
      • その200個のエチレン分子のどこか2個が、いずれも大変珍しい13Cであったという場合【タイプA】の数は、
        エチレン分子の選び方200C2に、選ばれた2個のエチレン分子を構成する炭素にちゃんと「名前」があるのだから、その並べ方に、4!
        他の396個の炭素の並べ方が396!
        200C2×4!×396!
      • 4個の13Cが4個のエチレン分子に1個ずつ配分される場合【タイプC】の数は、
        まず、エチレン分子の選び方200C4
        選ばれた4個のエチレン分子を構成する炭素の場所を左から順に、(A,a)(B,b)(C,c)(D,d)と名づける。13Cは、それぞれのカッコ内の大文字か小文字のどちらかに配置できる。
        4個の13Cを並べる方法は、 4!×24、
        他の396個の炭素の並べ方が396!



      • 一方、すべての場合の数は、400個の「名前」のある炭素原子の並べ方400!
        • 【タイプA】
        • 【タイプC】
        • 【タイプB】
      なるほど、実際に計算してみると、それなりに「意味」が見えてくるものだ(!)。
      つまり、
      • ほとんどが、【タイプC】であって、
      • 【タイプB】が現れる確率は、【タイプC】の100分の1、
      • 【タイプA】にいたっては、【タイプB】のさらに1000分の1、「ありえないこと」と考えてぜんぜん、差し支えない、いや、むしろ、「ありえないこと」だと考えるべきなのだろう。
      数百個、などという「雑な」モデルでは、ここまでの細かい「差異」を「検出」することができないのだ。

  • だから、一般化して(!)、炭素原子2n個。p=0.01とすると、
    • 2np個の13C
    • 2n(1-p)個の12C
    これらを「材料」にして、n組のエチレンを作る。
    • 2np個のうち、2m個が13CH2=13CH2型に使われ、
      m個の13CH2=13CH2型ができたとすれば、
    • 残り2(np-m)個が12CH2=13CH2型に使われ、
      2(np-m)個の12CH2=13CH2型ができ、
    • n-{m+2(np-m)}=n(1-2p)+m個が12CH2=12CH2型。
    こうして、
    エチレンの種類個数存在比率n→∞とすると
    13CH2=13CH2m
    m
    n
    0
    12CH2=13CH22(np-m)
    2(np-m)
    n
    2p
    12CH2=12CH2n(1-2p)+m
    n(1-2p)+m
    n
    1-2p
    たしかに、2個とも13Cでできているエチレンの個数など、あまりにも「吹けば飛ぶような」ものだから、考えようがない、ということになる。
    桁数が4以上も異なるものを、同じ「土俵」で、議論することはできないからだ。
  • そうなると、どうしても、「膨大な数の」、したがって、「無限個の」炭素原子、という話を持ち込まなくてはならなくなる。
    どんなに「たくさん」であっても、「この世」に存在する炭素原子の数は「有限」ではないのか?、と、「私」のどこかが「叫んで」いて、だから、「気持ち悪い」感じがしたのだ。
    • 上の「解答」で、無数の炭素原子のはいった「袋」から、・・・、などと言っているのは、
      一度取り出した炭素原子を、再び「袋」に戻す、「復元抽出」の問題にしてしまっていることを意味する。
    • でも、本当は(?)、そうじゃないだろ?
      たとえアボガドロ数の2倍の数の炭素原子だって、一度「取り出して」エチレンに組み立てたものは、決して「袋」には戻さない「非復元抽出」のはずだろ?
    • とすると、振り返ってみると、なるほど「復元抽出」というのは、「非復元抽出」を、「無限化」したものなのだ(!)ということが、理解されるのである♪

  • では、もう、出来上がったエチレン分子を「並べる」ことはあきらめて、
    たった1個のエチレン分子を「取り出して」、それが、それぞれ、
    • 13CH2=13CH2
    • 12CH2=13CH2
    • 12CH2=12CH2
    である「確率」を計算してみる。ただし、あくまでも「復元抽出」ではなく、「非復元抽出」だ、ということに、こだわって・・・。
    「袋」の中に、2n個の炭素原子がある。そこにp=0.01なる割合で、13Cというとても珍しい炭素原子が含まれている。
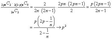
  • 個の「袋」に、目をつぶって、手を突っ込んで(!)、2個の炭素原子を取り出したとき、
    • 両方とも珍しい炭素の、13CH2=13CH2である確率、
    • 一方だけ珍しい炭素の、13CH2=12CH2である確率、
    • そして、どちらも平凡な炭素である、最もありふれた、12CH2=12CH2である確率、
    2行目で、nを無限化してみたが、なるほどその結果は、「袋」の中に「無数の」炭素原子がある(!)、という「復元抽出」問題そのものの答えになっている(!)、という「オチ」のない話であった。