| 0C0 |
| 6C0 |
6C1 |
6C2 |
6C3 |
6C4 |
6C5 |
6C6 |
| 7C0 |
7C1 |
7C2 |
7C3 |
7C4 |
7C5 |
7C6 |
7C7 |
| 8C0 |
8C1 |
8C2 |
8C3 |
8C4 |
8C5 |
8C6 |
8C7 |
8C8 |
| 9C0 |
9C1 |
9C2 |
9C3 |
9C4 |
9C5 |
9C6 |
9C7 |
9C8 |
9C9 |
| 10C0 |
10C1 |
10C2 |
10C3 |
10C4 |
10C5 |
10C6 |
10C7 |
10C8 |
10C9 |
10C10 |
| 11C0 |
11C1 |
11C2 |
11C3 |
11C4 |
11C5 |
11C6 |
11C7 |
11C8 |
11C9 |
11C10 |
11C11 |
| 12C0 |
12C1 |
12C2 |
12C3 |
12C4 |
12C5 |
12C6 |
12C7 |
12C8 |
12C9 |
12C10 |
12C11 |
12C12 |
| 13C0 |
13C1 |
13C2 |
13C3 |
13C4 |
13C5 |
13C6 |
13C7 |
13C8 |
13C9 |
13C10 |
13C11 |
13C12 |
13C13 |
| 1 |
| 1 |
9 |
36 |
84 |
126 |
126 |
84 |
36 |
9 |
1 |
| 1 |
10 |
45 |
120 |
210 |
252 |
210 |
120 |
45 |
10 |
1 |
| 1 |
11 |
55 |
165 |
330 |
462 |
462 |
330 |
165 |
55 |
11 |
1 |
| 1 |
12 |
66 |
220 |
495 |
792 |
924 |
792 |
495 |
220 |
66 |
12 |
1 |
| 1 |
13 |
78 |
286 |
715 |
1287 |
1716 |
1716 |
1287 |
715 |
286 |
78 |
13 |
1 |
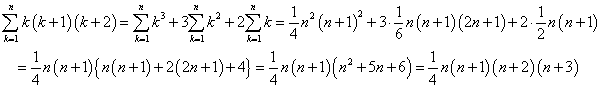
【問題】
を証明せよ。ただし、 n 1 , 0 r n-1 とする。
を証明せよ。
を求めよ。
を求めよ。
【解答】
計
- こうして、「715」の謎が解けた。
- こうして得られた「公式」
は、「パスカルの三角形」の中に、ちゃんと、隠されていた!
- 3C3と4C4とは等しい。
- 4C3+4C4=5C4である。
- だから、3C3+4C3=5C4である。
- 次に5C3+5C4=6C4である。
- ということは、3C3+4C3+5C3=6C4である。
- 以下同様にして、3C3+4C3+5C3+・・・+11C3=12C4である。
- 数字で見てみると、
- 1+4=5
- 1+4+10=15
- 1+4+10+20=35
- 1+4+10+20+35=70
- 1+4+10+20+35+56=126
- 1+4+10+20+35+56+84=210
- 1+4+10+20+35+56+84+120=330
- 1+4+10+20+35+56+84+120+165=495
- 1+4+10+20+35+56+84+120+165+220=715
というわけであった♪
|
|