【問題】
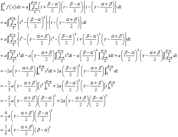
  1. f(x)=a(x-α)(x-β)(x-γ)に対して、

    を求めよ。
  2. これを用いて、a>0  ,  α<β<γのとき、y = f(x)  と x 軸で囲まれた図形の面積を求めよ。


  1.     と置換積分すると、