• 3次関数  f(x)=ax3+bx2+cx+d  (ただしa0)  のグラフCは、C上のある点P(p,f(p))に関して点対称であることを示し、この点を求めよ。
    任意のxに対し、(x,f(x))のP(p,f(p))に関する対称点(X,Y)

    がC上にあるようなpが存在することを示す。

    3ap+b=0のとき、任意のxに対してY=f(X)が成立する。
    すなわち、Cは、

    に関して点対称であることが示された。
  • 3次関数  f(x)=ax3+bx2+cx+d  (ただしa0)  が、極値をもつ条件を求めよ。
    f'(x)=3ax2+2bx+c
    2次方程式  f'(x)=0  が異なる2個の実数解をもてばよいから、
    b2-3ac>0
  • Cのグラフを、Pが原点に重なるように平行移動して得られたグラフC'をあらわす関数を、y=g(x)とする。g(x)を求めよ。
    また、g(x)が極値をもつ条件を求めよ。
    x軸方向に、b/3a、y軸方向に、-f(-b/3a)平行移動する。


    g(x)が極値をもつ条件も、
    b2-3ac>0
    である。
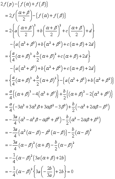
  • f(x)が極値をもつとき、極値を与えるxを、 α , β とする。C上の点 Q( α , f(α) ) , R( β , f(β) )は、点P( p , f(p) )に関して対称であることを示せ。

      に対して、    であることを示したい。
     α , β は、2次方程式 f'(x)=0 すなわち、3ax2+2bx+c=0の解であるから、


    示された。
  • f(x) = f(α)  となるxのうち、x=α以外のもの  x=α'  を求めよ。
    f(x) = f(β)  となるxのうち、x=β以外のもの  x=β'  を求めよ。


    3次方程式  f(x) = f(α)  の解のうち、  x=α  (重解)以外の解  x=α'  を求めたい。

    ここで、

    であるから、

    したがって、

    かつ、
    3aα2+2bα+c=0
    これは、  f ' (α) = 0  という、当然のことをあらわしている。

    同様に、3次方程式  f(x) = f(β)  の解のうち、  x=β  (重解)以外の解  x=β'  を求めたい。


  • P点のx座標をx0とするとき、β' , α , x0 , β , α' が、等間隔に並んでいることを示せ。
      
    であるから、これら5個の数値を、αを用いて表すと、

    それぞれの差を求めると、

    よって、示された。

  • g(x)が極値をもつとき、極値を与えるxを、 α , β とする。C'上の点 Q( α , f(α) ) , R( β , f(β) )は、原点に関して対称であることを示せ。
    g(x) = g(α)  となるxのうち、x=α以外のもの  x=α'  、
    g(x) = g(β)  となるxのうち、x=β以外のもの  x=β'  、とするとき、
    β' , α , 0 , β , α' が、等間隔に並んでいることを示せ。

    g(x)が極値をもつから、
    b2-3ac>0

    したがって、

    と見ることができる。
    ところで、g(x)は奇関数であるから、C'は原点に関して対称であり、

    に対して、C'上の点 Q( α , f(α) ) , R( β , f(β) )も、原点に関して対称である。
    ここで、

    とかけるから、

    すなわち、 α ' = -2 α 
    同様に、

    すなわち、 β ' = -2 β 
    さらに、 β = - α であるから、
    β' , α , 0 , β , α' は、それぞれ間隔| α |で並んでいることがわかる。