- 円C : x2+y2=r2上の点(x1 , y1)におけるCの接線の方程式は、
x1x+y1y=r2 と表されることを証明せよ。
- 円C' : (x-x0)2+(y-y0)2=r2上の点(x2 , y2)におけるC'の接線の方程式は、
(x2-x0)(x-x0)+(y2-y0)(y-y0)=r2
と表されることを証明せよ。
- [証明1]・・・「法線ベクトル」を用いて
求める直線は、点Aを通り、直線OAに垂直、すなわち、点Aを通り、法線ベクトルを
とする直線であるから、直線上の動点をPとすると、
・
=0・・・(1)
一方、Aは、円C上の点であるから、
・
=r2・・・(2)
(1)より、
・ (
-
)=0
すなわち、
・
-
・
=0
(2)を代入して、
・
= r2
よって求める直線の方程式は、x1x+y1y=r2
B(x0,y0),A(x2,y2)として、
・
=0・・・(1)
・
=r2・・・(2)
(1)より、
・ (
-
)=0・・・(1)
(2)を代入して、
・
= r2
(x2-x0)(x-x0)+(y2-y0)(y-y0)=0
これらをそれぞれ、xy座標系で計算すると、
- x1(x-x1)+y1(y-y1)=0・・・(1)
x12+y12=r2・・・(2)
(1)(2)より、x1x+y1y=r2
- [証明2]・・・「陰関数の微分」(数学III)
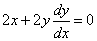
- x2+y2=r2の両辺をxで微分する。
- y=0でないとき、
したがって、点(x1,y1)におけるCの接線は、
これを順次変形し、(x1,y1)がC上の点である条件を加味すれば、
- y=0のとき、C上の点(-r,0),(r,0)におけるCの接線は、
明らかに、それぞれ、x=-r,x=rである。これらは、上式を満たしている。
よって、求める接線は、x1x+y1y=r2
- i から ii の証明
円Cを円C'に写す変換(x軸方向にx0、y軸方向にy0平行移動)
によって、(x1 , y1)が(x2 , y2)に移されたとする。すなわち、
C上の(x1 , y1)における接線も、C'上の(x2 , y2)における接線に移されるから、
x1x+y1y=r2 は、
(x2-x0)(X-x0)+(y2-y0)(Y-y0)=r2 に移される。
したがって、求める接線は、
(x2-x0)(x-x0)+(y2-y0)(y-y0)=r2
- [例題]
- (1)上で得た「公式」によれば、
(x2-x0)(x-x0)+(y2-y0)(y-y0)=r2
に対して、(x0 , y0) = (4,3) , (x2 , y2) = (3,2) , r = √2 であるから、
(3-4)(x-4)+(2-3)(y-3)=2
-(x-4)-(y-3)=2
-x+4-y+3=2
x+y-5=0
- ところが、
B(x0,y0),A(x2,y2)として、すなわち、
B(4,3),A(3,2)として、
・
=0
(3-4)(x-3)+(2-3)(y-2)=0
-(x-3)-(y-2)=0
x+y-5=0
としていけないかしら?、「公式」のほうが「速い!」かしら?
- つまり、この「公式」は、いらない、のである。
- それがなければ解けない!
または、
- それ以外の方法では著しく煩雑である!
という事情がない限り「公式」の「存在意義」は、ないのである。
その意味で、この「公式」の適用場面を想定することは一切出来ず、したがって、「存在意義」が、ない!