を求めよ。
置換積分
置換積分
n
が偶数のとき
n
が奇数のとき
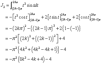
各項を部分積分を用いて計算する。
n
が偶数のとき
n
が奇数のとき
こうして、いずれの場合も、