- xをyの関数であらわす。
したがってy軸まわりの回転体の体積Vnは、
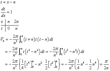
置換積分を行って、
- したがって、
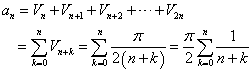
よって(区分求積法)、
[別解](「バームクーヘン」型積分)
- 上の関数の、区間
部分をy軸まわりに回転して得られる立体は、厚さdxの円筒である。
これを「展開」すると、縦
、横2πx、高さdxの直方体となる。
この直方体を、x軸方向に積み上げて(xで「積分」して)、求める立体の体積を得ることが出来る。
置換積分を行って、
[参考]
有限個のnについて、収束の様子を調べてみた。
| n | 1/n+1/(n+1)+・・・+1/2n | log2 |
| 2 | 1.08333333333333333 | 0.693147180559945309 |
| 5 | 0.845634920634920635 | 0.693147180559945309 |
| 10 | 0.768771403175427943 | 0.693147180559945309 |
| 100 | 0.700653430481824215 | 0.693147180559945309 |
| 1000 | 0.693897243059937497 | 0.693147180559945309 |
| 10000 | 0.693222181184945308 | 0.693147180559945309 |
| 100000 | 0.693154680566195307 | 0.693147180559945309 |