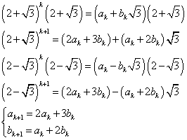
• (1) 任意の自然数nに対して、

    となる自然数の数列、an,bnが存在することを示したい。
    1. n=1のとき    a1=2  ,  b1=1
    2. n=kのとき    

      となる自然数の数列、ak,bkが存在すると仮定する。

      ここで、ak,bkは自然数であるから、ak+1,bk+1も自然数である。
      n=k+1のときも成立する。
    i,iiより、任意の自然数に対して、

    となる自然数の数列、an,bnが存在することが示された。
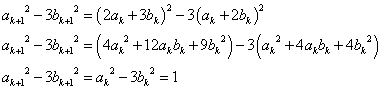
  • (2)自然数nに対して、

    であるとき、任意の自然数nに対して、
    an2-3bn2=1
    が成立することを示したい。
    1. n=1のとき    a12-3b12=22-3×12=1
    2. n=kのとき
      ak2-3bk2=1
      と仮定する。

      n=k+1のときも成立する。
    i,iiより、任意の自然数に対して、
    an2-3bn2=1
    が成立する。
  • (3)
    (1)より、anは任意の自然数nに対して、自然数であるから、

    ここで、bnも任意の自然数nに対して、自然数であるから、
    3bn2+1
    も自然数である。そこで、自然数mを、
    m=3bn2+1
    とおけば、

    また、
    m-1=3bn2
    であるから、

    したがって、このような自然数mに対して、

    が成立する。