を求めよ。
-
とおく。
各項を具体的に書き出し、2項ずつまとめると、
- ここで、f(x)=x100 とおくと、f'(x)=100x99
f(x)は、任意の実数に対して、連続かつ微分可能であるから、「平均値の定理」により、
自然数m,n (ただし、m=1,2,3,・・・,n) に対して、
を満たすcm (m=1,2,3,・・・,n) が、
に、それぞれ、少なくとも一つずつ、存在する。
すなわち、
- したがって、
ただし、
より、m=1,2,3,・・・,nに対して、
であるから、
- ここで、
また、
であるから、
同様に、
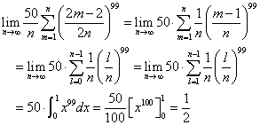
上式の1行目から2行目では、l=mなる変数変換を行っている。
また、l=0のとき、(l/n)99=0であるから、Σ記号の始域は、l=0から、l=1に変えたのである。
さらに、n→∞のとき、n-1→∞であるから、上式の結果を得る。
- 以上から、「はさみうちの原理」により、
が示された。