楕円
と、点(2,0)を通る直線が、二つの異なる交点P,Qをもつとき、PQの中点Mの軌跡を求めよ。
(1),(2)が2つの異なる交点を有することから、
x
についての以下の2次方程式、
の、「判別式」が正であるから、
(3)の2つの解をα、βとおくと、
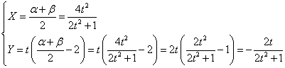
ここで、P、Q、および、PQの中点Mは、
と書けるから、M(
X
,
Y
)とすると、
ここで、
X
、
Y
から、
t
を消去したいのであるが、
そのために分母の2次式が消えるように
、
X
/
Y
なる、新たな「変数」を考案する(変数結合法)。
この新たな「変数」
X
/
Y
と、
Y
から、
t
を消去する。
ここで、恒等的に
Y
=0であることはないから、
Mの軌跡は、このような楕円上にあることがわかった。次に、軌跡の限界を定める。
であったから、これを、
X
の範囲に読み替えなければならない。
よって求める軌跡は、