1. (1)
    (2)

    • zが実数    ⇔    
    • zが純虚数    ⇔    
    (1)を示したい。

    ここで、もし、z=0ならば、

    となり、は実数であり、仮定に反する。
    よって、z≠0(背理法)
      であるから、zは純虚数である。
    (2)
      であるから、zは実数である。

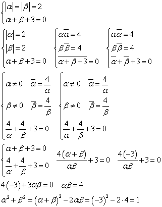
  2. α≠0である複素数α、βに対して、以下のことを証明する。
    1.   が実数であるならば、β=kαとなる実数kが存在する
    2. β=kαとなる実数kが存在するならば、  は実数である

    1.   が実数であるから、

      α≠0だから、    したがって、

      であるから、    は実数である。
      よって、β=kαとなる実数kが存在することが示された。
    2. β=kαとなる実数kが存在するならば、

      となり、    が実数であることが示された。


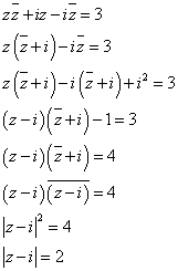
  3. (1)
    (2)
    であり、ここから、

    一方、

    であるから、
    1. のとき

      であるから、
    2. のとき

    よって、いずれの場合も、示された。
    (3)



  4. (1)
    (2)
    (3)





  5. (1)
    (2)


  6. α=1+√3iに対して、A(α)、P(z)、また、求める点を、Q(z')、と定めると、
    ∠AOP=θに対して、∠AOQ=θであるから、





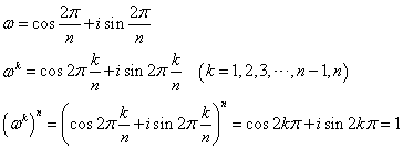
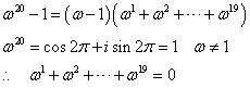
  7. (1)

    虚部が0となる最小の自然数nは、

    (2)
    虚部が0となる最小の自然数nは、




  8. ただし、「複号同順」である。



  9. よって、k=1,2,3,・・・,nに対して、ωkは、zn=1の解である。
    ただし、k=nのとき、ωn=1であるから、すべての解を列挙すると、
    z=1,ω,ω2,・・・,ωn-1

  10. (1)
    [別解]

    (2)


  11. であるから、z8+z4+1=0の解は、
    z12-1=0の12個の解のうち、z4-1=0の4個の解、以外のもの、
    ということになる。
    z12-1=0の12個の解は、

    z4-1=0の4個の解は、
    z=1,-1,i,-i
    であり、これらは、上の12個の解のうち、それぞれ、k=0,6,3,9の場合にあたる。
    よって、求める解は、

    [別解]

    ここで、|z|=1であるから、argz=θとおけば、


  12. 求める三頂点をそれぞれ、z1,z2,z3とすると、


  13. 求める三頂点をそれぞれ、α、β、γとすると、


  14. (1)
    点A(2)を通り、実軸に垂直な直線。
    (2)
    点A(3i)を通り、虚軸に垂直な直線。
    (3)
    点A(i)、点B(-i)を結ぶ線分の垂直二等分線、すなわち、実軸。
    (4)
    中心A(i)、半径2の円。


  15.     であるから、

    (1)
    原点中心、半径√2の円。
    (2)
    点A(1)、点B(i)を結ぶ線分の垂直二等分線、すなわち、直線y=x
    (3)
    中心A(11/3)、半径4/3の円。

  16. 条件より、

    1.   のとき、zは実数、ただしz≠0
      すなわち、実軸、ただし、原点除く。

    2. 原点中心、半径1の円。



  17. 中心A(1+i)、半径√2の円、ただし、点B(2)を除く。


  18. |z|≦1・・・(1)
    これは、原点中心、半径1の円の内部および周を表す。
    ・・・(2)
    z=x+yiとおくと、

    (1)(2)より、


  19. (1)
    (2)
    (3)

  20. O(0)、A(α)、B(β)、D(z1)、F(z2)とする。


    これが点Mを表す複素数である。
    一方、線分ABを、AがOに重なるように平行移動したものを、OB'とすれば、B'(β-α)である。
    したがって、B'をOを中心に反時計回りにπ/2回転し、長さを半分にした点が、Mであることがわかる。よって、示された。


  21. (1)AはBをOのまわりにπ/2回転した点であるから、OA=OB、かつ、∠AOB=90°の、直角二等辺三角形である。
    (2)AはBをOのまわりにπ/4回転し、√2倍に拡大した点であるから、OA=AB、かつ、∠OAB=90°の、直角二等辺三角形である。


  22. これは、α/βが純虚数だと言っている。すなわち、B(β)を原点O(0)のまわりに、±π/2回転したうえ、r倍拡大すれば、A(α)になる、と言っている。

    したがって、OAとOBは、直交する。

  23. A(α)を中心にB(β)を、0またはπ回転したうえ、r倍に拡大した点が、C(γ)だと言っている。
    すなわち、

    つまり、(γ-α)/(β-α)が「実数である」と言っている。すなわち、


  24. ・・・(1)
    ・・・(2)

    示したいのは次の二つである。
    1. B(β)をA(α)のまわりに「反時計回り」に、長さを変えずに、π/2回転した点が、D(δ)であること、すなわち、
    2. A(α)をB(β)のまわりに「時計回り」に、長さを変えずに、π/2回転した点が、C(γ)であること、すなわち、
    (2)より、(i)は自明である。
    (1),(2)を、次のように変形して(ii)を得る。

    よって、示された。

  25. z=α+β+γに対して、AH⊥BC,BH⊥CA,CH⊥ABを示したい、すなわち、

    を示したい。ここで、A(α),B(β),C(γ)は単位円上の点であるから、



    他も同様である。

    • z4を、z3のまわりに「反時計回り」にθ回転し、r倍に拡大した点がz2
    • z2を、z1のまわりに「反時計回り」にφ回転し、r'倍に拡大した点がz4
    と言えるから、



    であるから、4点が同一円周上にあることを示すには、θ+φ=πを、すなわち、左辺の複素数が、実数であることを示せばよい。

    以上、示された。