| 分散・標準偏差 | |
| 小さい | 大きい |
| 平均値の周りに多くのデータが密集した、「シャープな」分布 | 平均値から離れたところにも多くのデータが存在する、「ゆるやかな」分布 |
| 分散 | 定義式 | 実用式 |
| 「偏差」の「2乗」の「平均」 | 「2乗の平均」-「平均の2乗」 | |
| 標準偏差 | 「分散」の正の「平方根」 | |
|
| 正の相関 | 負の相関 | 無相関 |
| 相関係数 -1≦r≦1 | ||
| -1≦r<0 | r=0 | 0<r≦1 |
|
相関がない |
|
|
|
|
| 強い『正』の相関 相関係数 0.81 |
弱い『正』の相関 相関係数 0.41 |
|
|
|
| 強い『負』の相関 相関係数 -0.82 |
弱い『負』の相関 相関係数 -0.43 |
| 共分散 | 定義式 | 実用式 |
| 「偏差」の「積」の「平均」 | 「積の平均」-「平均の積」 | |
| 相関係数 | 「共分散」÷「標準偏差の積」 | |
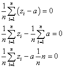
全データから、一律、定数mを引くという、変数変換を行うと、
|
全データを、一律、定数dで割るという、変数変換を行うと、
|
xのデータを、一律、定数d1で割り、yのデータを、一律、定数d2で割り、るという、変数変換を行うと、
|
| 点数 | 人数 |
| 1 | 4 |
| 2 | 11 |
| 3 | 16 |
| 4 | 9 |
| 5 | 5 |
| 分散 | 定義式 「偏差の2乗の平均」 | |
| 実用式 「2乗の平均」-「平均の2乗」 | ||
| 標準偏差 | 「分散」の正の平方根 |
|
|
|
| 強い『正』の相関 相関係数 0.81 |
弱い『正』の相関 相関係数 0.41 |
|
|
|
| 強い『負』の相関 相関係数 -0.82 |
弱い『負』の相関 相関係数 -0.43 |
|
|
| ほとんど『無』相関 相関係数 -0.13 |
| 共分散 | 定義式 「偏差の積の平均」 | |
| 実用式 「積の平均」-「平均の積」 | ||
| 相関係数 | 「共分散」/「標準偏差」の積 |
|
| まとめ |
全データから、一律、定数mを引くという、変数変換を行うと、
|
| まとめ |
全データを、一律、定数dで割るという、変数変換を行うと、
|
| まとめ |
xのデータを、一律、定数d1で割り、yのデータを、一律、定数d2で割り、るという、変数変換を行うと、
|
全データから、一律、定数mを引くという、変数変換を行うと、
|
(エオ)
全データを、一律、定数dで割るという、変数変換を行うと、
|
| 共分散 | 定義式 | 実用式 |
| 「偏差」の「積」の「平均」 | 「積の平均」-「平均の積」 | |
| 相関係数 | 「共分散」÷「標準偏差の積」 | |
| (相関係数)2=「(共分散)2」÷「分散の積」 |
(カキク)(ケコサ)
xのデータを、一律、定数d1で割り、yのデータを、一律、定数d2で割り、るという、変数変換を行うと、
|

| 強い『負』の相関 r=-0.82 |
弱い『負』の相関 r=-0.43 |
弱い『正』の相関 r=0.41 |
強い『正』の相関 r=0.81 |
| 「zの分散」 = 「xの分散」 + 「yの分散」 + 2×「x , y の共分散」 |
| 「zの分散」 < 「xの分散」 + 「yの分散」 |
| 相関係数 | = | x , y の「共分散」 |
| x の「標準偏差」× y の「標準偏差」 |
| P高校 | Q高校 | |
| 40点未満 | 0/20=0.0 | 5/25=0.2 |
| 54点以下 | 7/20=0.35 | 10/25=0.4 |
| 65点以上 | 4/20=0.25 | 5/25=0.2 |
| 70点以上 | 3/20=0.15 | 3/25=0.12 |
| 「偏差」の「2乗」の「平均」 |
| 「2乗」の「平均」-「平均」の「2乗」 |
であることを思い出してください。「上手に仮平均を選んだら、たまたま当たっていた」という場合です。
全データから、一律、定数mを引くという、変数変換を行うと、
|
全データを、一律、定数dで割るという、変数変換を行うと、
|
| 分散 = 「2乗の平均」-「平均の2乗」 |
| 「共分散」 = 「偏差の積」の「平均」 |
| 「相関係数」 = 「共分散」÷「標準偏差の積」 |
16.3(サシス)