くろやぎさんが、お手紙で、「複素解析学ってなぁに?」って訊いてくれたのに、しろやぎさんたら、「そんなの知らないっ」って、素っ気ない返事をしてしまったものだから、投函した後すぐに後悔して、急いで、「数学という学問II」志賀浩二(ちくま学芸文庫)を探してみたら、「正則関数」、「コーシー・リーマンの微分方程式」、など、微かに聞き覚えのある用語に引っかかった。
で、思い出した。押し入れの中から、埃をかぶった三十数年前の教科書、「こんなこともあろうか」と(笑)、遥々京都から運んできた数少ない書籍のうちの一つである、を取り出してみると、これは、学部3年生の配当科目であったと記憶する、大教室のうしろの入り口から、遅刻して入ってみると、席はもう端の方しか空いておらず、そんなところからでは、黒板の字も読めず、教授の声も聞こえない、もっとも、字が読め、声が聞こえたとしても、一言も理解できなかったであろうが(笑)、ともかく、私は、早々に、戸口に近い席であったことを幸い、物音をたてないように退出し、一つ二つ溜息でもついたのち、八号館地下の食堂で、「きつねうどん」でも食べて、寮に帰ったんだと思う。
それでも今ページを繰ってみると、章末問題の番号には鉛筆でチェックマークが入っているし、誤植の訂正なども書き込まれている、それらは明らかに私自身の筆跡なのである。
最初に就職した会社の「プログラマ」としての仕事は、3年しか続かなかった、3年しか続かなかったとしても、あながちそれは私の「落ち度」、だ・け・、でもないとは思っている、恨み言は(笑)何度も言ったが、月間残業200時間、睡眠不足のためだろう、歯槽膿漏が悪化して、歯茎から血を吹きだして倒れた、「このままでは『殺される』」、と思った、「このままでは『殺される』」状況で働いている人々が「世界」には、大量に存在していて、カール・マルクス「資本論」第一巻、岩波文庫版では、第四分冊くらいまでだったろうか?、ともかく私はそこまでしか読んでないが(笑)、その後半部分のほとんどが、19世紀後半イギリスの、労働者階級の窮状を描くのに費やされていて、この書物は、いわゆる「価値法則」や「剰余価値学説」を説く「経済学」の書物なのではなく、マルクス氏が、死ぬまでに是非とも語らずにはやまなかったのは、「このままでは『殺される』」もしくはすでに「殺されてしまった」労働者への、「鎮魂」、「服喪」の身振りではなかったのか?、とまで錯覚し、ならば私もまた、たった三年間であっても「鉄鎖以外に失うもののないプロレタリアート」であったことをもって、「マルクス主義者」であり続ける「権利」を、留保できる、と時に胸を張ってみせるのだ。
何の話をしている?
ともあれ、「若者」にありがちな錯覚として、「私は、こんな会社で、こんなつまらない仕事をしているよ・う・な・、人間ではない」、と思い込み、「失業」への不安を、「躁的防衛」で切り抜けるために、「自分はもともと『学究肌』(笑)で、アカデミズムの中で暮らすべ・き・だったのだ」との「物語」を、ほかならぬ自分に向かって語り聞かせたわけである。一年もたたないうちに「露見」するそんな「嘘」を、それでも「反復強迫」的につき続けるのが、あるいは、私の「病」であったかもしれない(笑)。
どうやら、その教科書の書き込みは、「大学院進学のため」、てな理由をつけて会社を「逃げ出して」(笑)、試験の準備のために「独学」していた時のもののようなのである。
それを今になってもう一度辿り直してみようか?、と思ったのは、数学好きの元生徒さんが、問い合わせてくれたのがきっかけではあるものの、無論、「ご隠居」の手遊び(てすさび)であって、・・・、
「人生」で何一つ「達成」しなかった、リチャード・ドーキンスの「又聞き」によれば(笑)、「ジーンgene」としても、「ミームmeme」としても、何一つ「残す」ことのなかった、ことに、・・・、後者は、「世界」には、自己の遺伝子組成を保全することの叶わぬ膨大な数の個体が存在することに、ドーキンス氏は当然気づいていたはずで、では、そいつらが、寿命を全うするまで生き延びる「意味」は何か?、と考えたときに、「遺伝子gene」に代わる、なにか「業績」みたいなものとして想定した操作概念と思われるが、・・・、こうして、「倒産―失業」の「騒乱」が過ぎ去ってしまえば(笑)、「私」は、たいして「後悔」していないことに気づく、「世界」にも、「人生」にも、「意味」はない、それは、圧倒的な「エントロピー増大過程」に散りばめられた、局所的「エントロピー減少過程」の、散発的な繰り返しではないか?、だから、「何者かにならねばならない」、「何者かであ・ら・ね・ば・ならない」との、強迫=脅迫、を受けてきたであろう「若き」(笑)自分自身に対する、「いや、そんなことは、ちっとも、なかったんだよ」、なる、「慰藉」の気持なのである。
「ガウス平面」、「複素平面」という、「架空」の場所で定義される「複素関数」は、1次元数直線上に定義される「(実)関数」とは、多くの点で、異なる。例えば、三角関数sinzといったとき、そこではもはや、「ああ、サインなら、高さ÷底辺、ね」、なる「比喩」が通用しない、通用しないにもかかわらず、「比喩」によって説明されてきた「定理」や「公式」が、流用できてしまう事態に、「馴染む」ことが難しい、難しいが、そこが、「『形』が同じであったら、同じ推論が使える」、という「形式主義」への「開口部」になっているのだとも思われる。
「連続」や「微分可能性」の定義は、複素関数でも、実関数でも、言葉の上では、大した違いはないように思える。ただ、「限りなく近づく」といったとき、1次元数直線上なら、「方向」は限定されているが、「ガウス平面」上では、様々な「近づき方」があり得、そのすべてについて成立しなければならない、なる、より強い限定が働く。
「正則関数」が「コーシー・リーマン微分方程式」を満たす、という話をしよう。でも、この話は、これだけでおしまい、当分「続き」がない。「複素解析学」の本領発揮ともいえる、「積分公式」などを説明するには、ベクトル場の微分積分、などを、また、学び直さねばならないようなので、それは、いつになるか、「生きている間に」(笑)、できるのか?、予想がつかない。
- 「正則関数」の定義
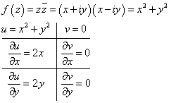
複素平面上の領域Dにおいて、関数f(z)が微分可能で、導関数f'(z)が連続であれば、f(z)は、領域Dで正則である、という。
点z0を含むある開集合でf(z)が正則であれば、f(z)は点z0で正則であるという。
- [定理]:関数f(z)=u(x,y)+iv(x,y)が正則であれば、u,vは連続な偏導関数をもち、次の「コーシー・リーマンの微分方程式」を満たす。逆も成り立つ。
f(z)が正則、すなわち、
が、存在して、連続、である。この極限は、Δz→0の方向に依存しないから、当然、次の特定の二つの場合を考えても、同じ値を与えねばならない。すなわち、
- 実軸に平行な方向で、0に近づく場合、Δz=Δx
- 虚軸に平行な方向で、0に近づく場合、Δz=iΔy
- Δz=Δxの場合
- Δz=iΔyの場合
これらが等しいことから、
実数A,Bに対して、A+iB=0ならば、A=B=0であるから、
すなわち、
「逆」は、私には証明できないから省略して(笑)、その「逆」を用いて、ある複素関数が「正則」であるか否かの判定ができる例を、二つほど示す。
- 例1
「コーシー・リーマン微分方程式」が成り立たないから、この関数は、正則でない。
- 例2
「コーシー・リーマン微分方程式」が成り立つから、この関数は、全平面で、正則である。
やぎさんの耳は、このレターセットのイラストみたいに、垂れてないよ。常に捕食者を恐れる草食動物だからな、いつでも横に張り出して、音を聞き漏らすまい、としているのだろう?、この写真は、一年以上前のものだ。フレンドリーちゃんも、フレンドリー・ジュニアも、今はもう、人に「食べられて」しまったのだろうと思う。捕食者に、その肉を安定的に提供することと引・き・換・え・に、繁殖機会を確保させることにした、彼らの「遺伝子」の決断を、私は、「高貴」なものと感じ、「屠られて」しまった者たちには、「喪」の身振りによって、応えたい、と思っている。
「共生」というのは、それが持続しているかぎり、原理的にはつねに「相利」なのである。
もう半月ほどになるか、フレンドリーちゃん♪、の姿が見えない。小屋の中には息子、だって「角」が生えてきたからね!、が一人ぽつねんとしている。ヤギはこんなにも早く乳離れするのだろうかね。草や、売れ残った野菜などを精力的に(笑)食べ、すくすくと育っているみたいである。
私は、嗚呼、フレンドリーちゃん♪、ちょうど一年前のお母さんと同様に、「食べられて」しまったんだと思った。「家畜」として生きる生き物であるから、それは受け入れなければならない。でも、受け入れるのはやはり困難だから、・・・、受け入れることが困難な事態に直面したときに人がとる「自然」の「反応」として、「気づかない」ことにした。事実を「隠蔽」し、「喪」の作業の反復、つまり抑鬱症状(笑)を「遅延」したのである。
「息子」、フレンドリー・ジュニア♪、の角はだんだん伸びてきたし、私にもなついてくれて、顔を突き出すとおでこを舐めてくれるところも、お母さんと一緒だ。でも、フレンドリーちゃん♪、のいない写真を撮ることは、ためらわれた。
動物は繁殖して子孫を作るから、すぐに殺してその肉を食べてしまうより、生かしておいたほうが、後々たくさんの肉を手に入れることができる。
牛やヤギのように、乳を食用にできる場合は、一頭分の肉よりもはるかに大量の栄養分を一生涯のうちに供給できるはずだ。
加齢とともに、食用肉としての「価値」は減衰する。繁殖や授乳の能力も落ちてくる。どこかにバランス・ポイントがあって、まだ食用に供しうる間に、屠られることになる。
動物を「家畜」として馴致する過程で、人間はそんなことを学んだはずだ。
フレンドリー・ジュニア♪、に角が生えて、男の子だとわかったから、よかった、フレンドリー♪、もう少し生き延びれる!、と思ったのだ。雌ヤギの「家系」が存続して、食肉としての代金なり、アトラクションとしてなり、安定供給されるほうがこのお店にとっても有利だろう?、だから、もう一頭雌の子ヤギを産むまで、生かしていてもらえる、と、踏んだのだ。
だからきっと、「種付け」のために、どこかに出されているんだ!、と思おうとした。そんなことお店の人に訊けばいいじゃないか?、それが出来ないのが「うつ病」(笑)なんである。
そうして、今日、フレンドリーちゃん♪、「何食わぬ顔」(笑)で、戻ってきていた!
私としては、掛け値なしに嬉しいので、さっそく記念撮影。手ぶらで帰るわけにもいかないから、そろそろ季節はずれの「もーい」も買って帰った。
「人間中心主義」的(笑)錯認によって、しばしば忘れがちだが、「共生」というのは、それが持続しているかぎり、原理的にはつねに「相利」なのである。獰猛な食肉獣である人間が草食獣を「てなづけた」だけだと思っているが、そうではない。「彼ら」もまた、決して「天寿を全うできない」引き換えに、潤沢な餌と、捕食者から守られた住居のある「家畜」としての暮らしを、「選んだ」のである。無論「選ぶ」ことを「意識」する必要はない、「進化」とはそういうものだ、それは「人間」も、同じだ。(2013/10/01)