壺の中には二つしか玉が含まれず、それぞれの玉は白か黒であると考えてみよう。これらの玉の一つを取り出し、次に玉を取り出す前に、その玉は壺の中に戻されるものとする。最初の二回とも取り出されった玉が白だったとき、三回目に取り出される玉もまた白である確率はいくらであろうか。
「確率の哲学的試論」ラプラス(岩波文庫)
仮説1」、H1:壺の中の玉の一つは白で他方は黒である
仮説2」、H2:壺の中の玉の二つとも白である
第一の仮説によれば、観察された事象の確率は、(1/2)2=1/4
第二の仮説によれば、観察された事象の確率は、12=1
これら二つの仮説が、以下の第六原理にいう「原因cause」のすべてをなすとすれば、

「観察された事象E」、すなわち「二回とも白であった」に対する、それぞれの「原因」、「仮説」の寄与分は、

ここで、どちらの「仮説」についても、その「アプリオリな確率」は、1/2としている、これは、二つしかない「仮説」が「どちらも同じくらいに確からしい」ことから、「アプリオリに等確率」としたもので、この本の内井惣七の「解説」では、「無差別の原理」、確か昔読んだ寺田虎彦が「理由欠乏の原理」と呼んでいたものと同じことを指しているのだろうと思う。
ではこれに基づいて、「予測」を行うと、

第一の仮説、ならば、次も白である確率は1/2、第二の仮説、ならば、同じく1、これらを、その仮説の「寄与分」、すなわち、「仮説の信頼性」によって、「比例配分」した、という訳なのだろう。
これを「一般化」する。
「仮説」が、H1から、Hmまで、m個あったとする。それぞれの仮説Hkの下で、「ある事象が生ずる」、この場合なら、「白玉である」確率を、xkとすると、E、「n回中s回が白であった/すなわち、n-s回は黒であった」ことを前提とした、それぞれの仮説の「信頼性」、「寄与分」は、

では、上と同様に、n+1回目も、「白である」ことの予測を立てると、

ここで、離散変数についての、加算を、連続変数についての「積分」に、読み替えると、それぞれの「仮説」に与えられた各利率、P(Hj)、は「アプリオリに」ひとしいとすれば、それは、1/m、であるが、これを、十分に大きいmに対して、Δx、さらにdxと見る。xjで表されたそれぞれの確率は、0から1のあらゆる実数値をカバーしていると見れば、ここでのΣによる「加算」は、0から1までの「定積分」とみなせることになろう、従って、

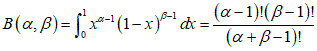
で、この積分を計算するには、「ベータ関数」なるものの知識が必要となる。以下のようなものである。この積分は、いわゆる「解析的には解けない」という奴なのかな、漸化式を作って、帰納的にその一般解が得られる。


そのいきさつは、以下に詳述(笑)してある、ファイルのタイムスタンプを見ると、2014年の6月、なるほど、勤め先の予備校が倒産して、それを引き継いだ別会社には、採用しても・ら・え・ず・(笑)、「引退」を余儀なくされ、「不遇」を「託って」いた頃の記念すべき(笑)作品である、今、やり直せ、と言われても、到底無理だから(笑)、その結果だけを利用することにして、・・・
正規分布確率密度関数を導出する
文字が混同するのを避けて、

ここでは、

これが、今までn回中s回起った事柄が、n+1回目もまた起こるという「予測」の確からしさは、このような単純な分数で表されることになる。ラプラス氏が挙げている例示は、歴史の起源を五千年前に取るとして、1826213日の間、毎日太陽が昇るのが観測されたことから、明日もまた太陽が昇るであろうとの「予測」の確からしさは、
(1826213+1)/(1826213+2)
となるであろう、でも、これは、例えば、「毎日昇る」仮説、と、「ときどき昇る」仮説等々があるとして、それらが同様に確からしい、という前提によっているのだから、天体の運行についての知見を有している者、現・代・人・にとっては、もっと大きなものになるだろう、とおっしゃっている。ちょっと気になったのは、この日数、
365.2425×5000=1826212.5
であるから、ラプラス氏は、ちゃんと(笑)、「グレゴリオ暦」を採用されているのである、フランス革命の子であれば、当然か?
ところで、これを、先の壺の中に玉二つ、の例に適用すると、過去2回中2回とも「白」だったから、3回目も「白」だという予測の確からしさは、
(2+1)/(2+2)=3/4
となってしまうぜ?上で得られた、9/10と異なるのは何故なんだろう?解せない(笑)。解せないなりに、「ベータ関数」などが役・に・立・つ・場面を体験もできたし、満足して、終了。

追伸、頭があまりよくないので、こんなことも、やってみないとわからない(笑)。s/nという比率を、例えば、0.1、0.3、0.5、0.7、0.9、と固定して、nの値を大きくしていくと、件の、「予測の確からしさ」s+1/n+2がどう変わっていくんだろうか?
例えば、s/n=0.1の場合、
今まで10回やってみたんだが、1回だけそ・う・い・う・こ・と・があったな、というときに、11回目がそ・う・なるのは、2/12=0.182、だが、
今まで、30回中、3回がそ・う・だった、なら次、31回目がそうなる、のは、4/32=0.125、と下がっていき、
グラフにはないけど、100回中10回だったなら、101回目そ・う・なる確率は、11/102=0.108、
もちろん、これは、s/n=0.1、に「下方」に「収束」していく訳だ。試行回数が少ないと、予測の方は、多めに見積もってしまう、ということだ。
反対に、s/n=0.9の場合、
今まで10回中9回までそ・う・だったから、今度、11回目もそ・う・だろう、が、10/12=0.833、
30回中27回までそ・う・だったから、次、31回目も、というのなら、28/32=0.875、
そして、100回中90回というのなら、91/102=0.892、
こんどは、s/n=0.9、に向かって「上方」に「収束」する、試行回数が少ないと、今度は低めに見積もることになる。
そして、s/n=0.5、ならば、
過去10回中5回でも、6/12=0.5、
30回中15回でも、16/32=0.5、
100回中50回でも、51/102=0.5、と、最初から、0.5に「収束」してしまっていて、試行回数の影響を受けることがない、これはどう解釈すればよいのかな?なんか、含蓄深いことのようにも思えるし(笑)、いや、当たり前すぎてどうってことないものにも思える(笑)、過去の経験から、もしくは、小さなサンプルから計測した確率が、1/2であるなら、これからも、または、大きな集団に対しても、やはり1/2ということができる、とても確・実・に・、そう、言うことができるのだが、残念なことに(笑)、その確・実・に・述べていることの内容が、「生じるか生じないかのどちらかである」という言明なのだから、ちっともありがたくない、という皮肉な結果になっていて、なんか、「トートロジー」は、絶対に間違ってないから、大いに言ってもいいけど、全然言う意味がない、というのと似てる気がして興味深い、・・・、予備校講師時代は、「努力すれば、夢はかなう」などという、「資本主義のプロパガンダ」を、真顔で喧伝する同僚がいたりして、それをまた、痛々しくも信じ込んでしまっている生徒さんたちが山ほどいたから、もちろん、それは、ちっとも「夢」なんか(笑)「かなわなかった」老人のひがみ半分だけれども、いや、あんたが合格する可能性も、合格しない可能性も、それこそ「理由欠乏の原理」により、1/2ずつに決まってんだろ?、などと、嫌味なことを言って、ますます嫌われていたものだが(笑)、・・・。
・・・
壺の中には三つしか玉が含まれず、それぞれの玉は白か黒であると考えてみよう。これらの玉の一つを取り出し、次に玉を取り出す前に、その玉は壺の中に戻されるものとする。最初の三回とも取り出されった玉が白だったとき、四回目に取り出される玉もまた白である確率はいくらであろうか。
玉の個数を一つ増やして三個にし、繰り返し取り出す回数もまた一回増やして四回にしてみたらどうなるだろう、どうもならないような気もするし(笑)、何か新しい発見があるかも知れない、ともあれ、そんな程度のことしかする気が起こらないので(笑)、やってみる。
仮説1」、H1:壺の中の玉の一つは白で他の二つは黒である
仮説2」、H2:壺の中の玉の二つは白で他の一つは黒である
仮説3」、H3:壺の中の玉の三つとも白である
第一の仮説によれば、観察された事象の確率は、(1/3)3=1/27
第二の仮説によれば、観察された事象の確率は、(2/3)3=8/27
第三の仮説によれば、観察された事象の確率は、13=1
それぞれの「仮説」の「信頼性」は、

これらの「仮説」の「信頼性」に基づいて、さらにもう一回「白」が出る「予測」は、

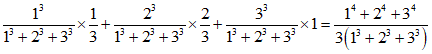
なるほどね、ぐらいにしかならないのだが(笑)、ちょっと待て!この計算の「内訳」を書いてみると、

ならば、上の、最初の例、壺の中に二つの玉で二回とも白、の場合の「予測」値も、同じように書き下すと、

なんか、意味ありげ(笑)じゃない?よかったじゃないか?「時間潰し」出来そうじゃないか?
さっそく(笑)、「一般化」してみよう。
・・・
壺の中にはn個しか玉が含まれず、それぞれの玉は白か黒であると考えてみよう。これらの玉の一つを取り出し、次に玉を取り出す前に、その玉は壺の中に戻されるものとする。最初のn回とも取り出された玉が白だったとき、n+1回目に取り出される玉もまた白である確率はいくらであろうか。

ますます「意味ありげ」ではあるものの(笑)、多分、オチがない、だろうことも、「予測」出来そうな気がしているが(笑)、もう少し、続けよう、Σkn、ってどうやって計算するんだっけ?

二行目は、もちろん、「等差数列」の和の公式、から導けるが、後の「帰納的」類推のために、以下のようにして導く、

同様にして、Σk2は、

次、Σk3

こんなことしてても、「らちが明かない」、多分駄目だろうけど(笑)、いきなり「一般化」出来ないかしら?

こんなところが、限界かな(笑)?、でも、依然として、なんか、意・味・あ・り・げ・じゃない?
念のため、m=3、とでもして、検算してみましょう。

おお、合ってるじゃないか?なら、もう一つぐらい、

全然合ってる気、しなかったんだけど、2と3で検算してみたら、出来てるじゃない?

という訳で、やはり(笑)、Σkn、の、一般的な「公式」なんか、得られそうもない、ということは、わかった。
そもそも何の話だったかというと(笑)、別に、何の話でもなかったんだが(笑)、壺の中のn個の玉、n回立て続けに取り出しては戻す、いわゆる「復元抽出」という奴ね、をくり返したら、全部「白」だった、もう一回取り出しても、「白」である確率は、

「公式」を見つけることはできなかったが、数値計算ならば、表計算ソフトなりBasicで、いくらでもできるではないか?

で、次の通り、n=6、までやってみて、

へぇー?そりゃ、「過去」に「白」ばっかしだった「経験」が、積み重なれば、次も「白」だ、という「確実性」は、いや増しに増すであろう、そんなこと、もちろん、「常識」でわかる(笑)、ことが、わかった、のであった。当初、やっぱり、お腹に猫たち乗っけながら、そんな風に胸を圧迫していると、「夢見」が悪く(笑)、ああ、あたしの人生どうしてこう、だめだったんだろう(笑)、風なことにうなされていたんだろうな、・・・、
今まで、ことごとく、「失敗」であった、・・・、ここで「白玉」であることを、「失敗」と読み替えています(笑)、そのときの、「原因」をさぐる「仮説」の立て方、に興味を持った、
お前は、もともと、「失敗」ばかりするように、出来ていたのだ、・・・、これが、壺の中は全部「白」の「仮説」、Hn
いや、そんなことはない、私のもともとの資質は、ちっとも悪くなくて、ただ、運が悪かった、あるいは、環境が、まわりが、「社会」が(笑)、悪かったんだ、・・・、例えばこれが、たった1個だけが「白」であとは「黒」仮説、H1
各「仮説」の信頼性は、以下の式で計算できるのであった(笑)、

では、上の数表を用いて、これを概算してみましょう(笑)、
n=3、3回立て続けに「失敗」した、もともと「失敗」するようにできていた、H3仮説、75%、いや、そんなはずはない、「失敗」の内・的・原・因・は、ごくわずか、ただ一つだけだった、H1仮説、3%、
n=7、7回立て続けに「失敗」した、H7仮説、69%、H1仮説、0%、
これも、特に、別に、「ありがたい」(笑)示唆を与えてくれるわけでもないな、ただ、「失敗」をくり返す回数が増えるにつれ、ひょっとしたら自分のせいかもしれない、いや、そうでないかもしれない、という、いわばあいまいな、どちらでもよい、「中間領域」、が増えてくるからだろう、全部、おまえのせいだ(笑)、と責める必然性は、減少していく事実に、胸を撫で下ろしても(笑)、よいかもしれない。
・・・
オチがなかったので、言い訳がましくまだしゃべり続けることにしますが、この設例、最初から何かしっくりしていなかったのは、n回、壺の中から取り出しても度に戻す、「復元抽出」を、n回、繰り返す、その、n、と、n、一致している必然性(笑)が、あまりないのですね、「復元抽出」、引いては元に戻す、を何回繰り返しても、そもそも、はじめに、壺の中に、何個の玉が入っていたかすら、わかる訳ないでしょう?はじめから、n個の玉が入っていることだ・け・はわかっていて、色がわからなかったんだ、などというのは、無理っぽいですね(笑)、自分でやっておいてやっと気づいたのは、この話、「非・復元抽出」と比較してみることで、初めて、「意味」が見えてくる、「非復元抽出」、つまり、取り出して元に戻さない、をn回繰り返して、あらら、もう、壺の中には玉がない、ということになって、その時初めて、「壺の中にn個の玉があった」ことがわかるのであって(笑)、もちろん、その時には同時に、白が何個で黒が何個、の内訳も、わかってしまっている筈だ。それがわかってしまった段階で、では、玉を全部また壺の中に戻しましょう、そうして、さて、新たに一個取り出す、白である確率はいくらでしょう?、というのだったら、もうわかっている白と黒の配分、例えば、白がm個、黒がn-m個なのだったら、それは、m/nとなる、というだけのことなんだな、そこにはもう「仮説」もへったくれもない、「わかって」しまっているからなんだ、分かってしまったことの「確率」は、もはや、0か1のどちらかに「収束」してしまっている。で、この違いは何か、というと(笑)、余りにあたりまえのことを言っているので、我ながら、こいつ、頭悪いんちゃうか?とやや恥かしくなってきますが、「復元抽出」では、一回一回の試行が、ことごとく「独立」、前回の試行の影響を全く受けない、前回までの試行の影響が全部「リセット」されてしまっていて、毎回「新規まき直し」、だから、「情報」が、まったく「蓄積」されないのですね、「経験」から、学びようがないのですね、「過去」と「現在」が切断されていて、「過去」が、何も語ってくれないのですね、だから、こんなこと百万回繰り返しても、依然として、白が1個かも知れない、・・・、白が百万個かも知れない、という百万個の「仮説」を持ち続けなければならない、「非復元抽出」ならば、1個取り出した、という前回の「経験」によって、例えば「白」が出た、というのなら、壺の中の全部の玉の個数も、「白」の個数も、それぞれ1個減・っ・た・、「情報」によって、塗り替えられた、新たな現実から出発できる訳です、それが、「独立」でない、「従属」である、ってことの意味なんでしょう、そういうことをくり返せば、次第に、知っていることが増加して、知らないことが減少して、最終的には、知らないことがなくなり、すべてがわかったことになる、という「確信」に向かって、進むことができるのですね。「世間」に恨みを持っている老い先短い老人が、何を不平を述べたいか(笑)?、もう、お分かりですね。「経験」を積み重ねることによって、自分の「背後」に、これは「時間軸」という数直線上を、0から無限大に向かって(笑)、歩んでいくという、「モデル」ですが、「すでに知っていること」、が、順次増えて行って、「システム」は、どんどん、賢くなっていくから、「仮説」の数は減り、以降、ど・ん・ど・ん・、「正しい」選択をなしうる可能性が高まって来る、これが、「成長」ということなんだろう。ずっと以前に何かで読んだのだが、統合失調症の患者の「世界」は、日々、「新しい」のだという、「過去」と「現在」が切断されていて、日々、「新しい」、ことが、どんな苦・痛・であるか、というようなことが書いてあって、ああ、これまたおこがましい物言いになるけれども、いくぶんか「わかる」気がする、例えば、私は、自分が、成長してきた、「経験」を蓄えて、「豊か」になってきた、という気が、全然、していない、何十年前から、何度も「誤った」ことし、それを、また何度も繰り返し、そんな風にして、自分が、ずっーと、同じ「場所」にいるような気がしている。なにごとかを「蓄積」して、「内部」が「豊富」になる、というのは、言うまでもなく「資本主義」のイデオロギーである、と、楯突いてみても(笑)、もう、こうなってくると、ちっとも、楽しくない(笑)。