• 水平に置かれたバネ

    バネ定数kのバネを水平に置き、一端を固定して他端に質量mのおもりをつける。
    ばねの延びる方向にx軸をとり、自然長をx=0とする。
    時刻t=0に、x=Aまでバネを引っ張り、手を離す。
    • 運動方程式:-kx=ma
      初期条件:t=0で、x=A
    • x=Acosωt
      v=-ωAsinωt
      a=-ω2Acosωt=-ω2x
    重力による
    位置エネルギー
    弾性力による
    位置エネルギー
    運動エネルギー合計
    変位x-kA2cos2ωtm(-ωAsinωt)2
    =kA2sin2ωt
    kA2
    x=A-kA20kA2
    x=0-0mω2A2=kA2kA2




  • 鉛直に置かれたバネ

    バネ定数kのバネを天井からつり下げ、下端に質量mのおもりをつける。
    鉛直下方にx軸をとり、自然長をx=0とする。
    つりあいの位置をx=x0とする。
    時刻t=0に、つりあいの位置からさらにA、すなわちx=x0+Aまでバネを引っ張り、手を離す。
    • 単振動を行わせる前の、つりあいの式:-kx0+mg=0
      すなわち  
    • 単振動をはじめたあとの、運動方程式:-kx+mg=ma
      初期条件:t=0で、x=x0+A
    • 運動方程式を変形して、  
      すなわち  -k(x-x0)=ma
      X=x-x0  と置き換えると、  -kX=ma
      したがって、X=Acosωt  すなわち、x=Acosωt+x0
    • x=Acosωt+x0
      v=-ωAsinωt
      a=-ω2Acosωt=-ω2(x-x0)

    重力による位置エネルギーの基準面を、x=0(自然長)として、エネルギー保存則を考えると、
    重力による
    位置エネルギー
    弾性力による
    位置エネルギー
    運動エネルギー合計
    変位x
    (*1)
    -mgx
    =-mg(Acosωt+x0)
    kx2
    =k(Acosωt+x0)2
    m(-ωAsinωt)2
    =kA2sin2ωt
    k(A2-x02)
    x=x0+A
    (*2)
    -mg(x0+A)k(x0+A)20k(A2-x02)
    x=x0
    (*3)
    -mgx0kx02mω2A2=kA2k(A2-x02)
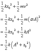
    • (*1)の計算経過

    • (*2)の計算経過
    • (*3)の計算経過






    重力による位置エネルギーの基準面を、x=x0(つりあいの位置)として、エネルギー保存則を考えると、
    重力による
    位置エネルギー
    弾性力による
    位置エネルギー
    運動エネルギー合計
    変位x
    (*1')
    -mg(x-x0)
    =-mgAcosωt
    kx2
    =k(Acosωt-x0)2
    m(-ωAsinωt)2
    =kA2sin2ωt
    k(A2+x02)
    x=x0+A
    (*2')
    -mgAk(x0+A)20k(A2+x02)
    x=x0
    (*3')
    0kx02mω2A2=kA2k(A2+x02)
    • (*1')の計算経過
    • (*2')の計算経過
    • (*3')の計算経過