| 高校物理 | マックスウェル電磁気学 | |
| 第1式 | 電場についてのクーロンの法則![]() | ガウスの法則 (面積積分と体積積分の変換) ![]() |
| 第2式 | ファラデーの電磁誘導の法則 (レンツの法則) ![]() | 変動する磁場は循環型の電場を作る![]() |
| 第3式 | 単極の磁石が存在しないこと | ガウスの法則 (閉曲面内に「湧き出し口」「吸い込み口」がない場合) ![]() |
| 第4式 | アンペールの法則![]() | 変動する電場は循環型の磁場を作る![]() |
右辺の積分は「体積積分」
右辺の積分は閉曲線に沿って一週回った積分(周回積分)
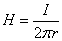
から、I=2πrH 、これは、一般化すると磁場Hのまわりの閉曲線に沿った周回積分といえるから、
に、コンデンサの周りの磁場についての項も付け加えると、