• []  
    • []  ローレンツ力
    • []  負
    • []  eE=Bev  E=Bv
    • []  104=0.2×v  v=5.0×104
    • []  
    • []  

      amu:原子質量単位
    • []  同位体
    • []  
      したがって、M1が「ヘリウム4」、M2が「ヘリウム3」
      よって、答えは、「ヘリウム4」
    • []  

      [カ][キ]より、  だから、E2-E1=104/3=3.3×103
    • []  


    • (1)
    • (2)鉛直上向き
    • (3)
    • (4)
    • (5)
    • (6)
      45,75,120の最大公約数は15、1.5×10-19よりも小さいとすると、q3=16eとなって、条件に反する。
    • (7)15.0×10-5=1.5×10-4
    • (8)e=1.5×10-19

    • (1)最大の速度をもって飛び出した電子が、電場による逆向きの力を受けて減速し、速度0でP極に到達した。つまり、持っていた運動エネルギーが、電場によってすべて失われた。
    • (2)[A=C/s]であるから、I0/e[A/C=1/s=(個数)/s]
    • (3)振動数f[Hz=1/s]の光から得られたエネルギーhf[J]から、金属結合による拘束を断ち切るために要するエネルギー(仕事関数)Wを引いたものが、速度最大の電子がP極に到達するためにもつことのできた運動エネルギーである。
      hf-W=eV0
      W=hf-eV0
    • (4)少なくとも仕事関数Wを越えるエネルギーを光から受け取る必要があるから、
    • (5)振動数が大きくなると、阻止電圧の絶対値は大きくなる。

      光の強さ(光子数)が不変ならば、I0も不変。
    • (6)光の強さ(光子数)が大きくなったから、I0も大きくなる。振動数が不変だから、阻止電圧V0は不変。

    • (1)電場から加えられたエネルギーがすべて運動エネルギーとなった。

      電子は「物質」であるから、質量をもつので、その運動量p=mv
    • (2)
      • (a)Vが大きくなるとλminは小さくなる。
      • (b)陽極に金属に固有だから、不変。
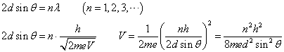
    • (3)2dsinθ=nλ    (n=1,2,3,・・・)

      0≦θ≦π/2で、y=sinθは、単調増加。λが小さい方が、先に反射条件を満たす。よって、λ1
    • (4)

    • [](3)コンプトン効果
    • []hν
    • []
    • []
    • []
    • []
    • []


    • (1)
    • (2)
    • (3)
    • (4)
    • (5)
    • (6)
    • (7)
    • (8)
    • (9)

    • (1)[1]  2  [2]  4  [3] 中性子 [4] 陽子 [5] 1 [6] 8 [7] 6 
    • (2)
      [8]
      [9]
      [10]
      30億年
    • (3)Thの質量をm1、α粒子の質量をm2として、運動量保存則から、
      [11]
      7.2×104eV

    • (1)
    • (2)
    • (3)