(3)[エネルギー・熱の移動](2007本4c)一部
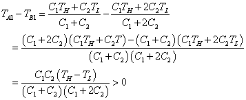
C1(TH-TB1)=C2(TB1-TL)

T=TH-TL
TA=TA-TL
TB=TB-TL
TAは、
Tを
倍に縮小した後、再び、
倍に縮小したもの
)2倍に縮小したものだ。
TBは、
Tを、ただ一度だけ、
倍に縮小したものだ。
TA=(
)2
T=
T
0.44
T
TB=
T=0.5
T
TA=(
)2
T=(9/25)
T=0.36
T
TB=
T
0.43
T
TA=(
)2
T=
T
0.11
T
TB=
T=0.2
T
(3)(理科総合A・2009本試験第3問の一部)